El jamón de pavo y el jamón de pollo son productos cárnicos procesados que se han consolidado como opciones populares en la alimentación moderna, a menudo elegidos por sus perfiles nutricionales específicos. Sin embargo, su consumo y elección requieren una comprensión clara de sus características, beneficios y los aspectos relacionados con su procesamiento y etiquetado.
El Jamón de Pavo
El jamón de pavo es un alimento popular cuyo procesamiento industrial ha permitido un acceso generalizado para el consumo. Se elabora con pechuga o muslo de pavo y se somete a un proceso térmico que asegura su cocción y conservación.
Valor Nutricional y Beneficios para la Salud
Por lo general, el jamón de pavo se extrae de la pechuga o del muslo del animal. En ambos casos, se trata de una carne baja en grasa, lo que la hace muy saludable. La carne de pavo es rica en proteínas, ácido fólico y otras vitaminas del grupo B como la B1, B3, B6 y B12, o la biotina. Además de aportar minerales como zinc, fósforo, potasio, magnesio y hierro, es una de las proteínas animales más completas, ya que posee 10 de los 20 aminoácidos esenciales que requiere nuestro cuerpo para su adecuado funcionamiento. Los aminoácidos no son producidos por nuestro organismo de forma natural y deben ser obtenidos a través de los alimentos o suplementos alimenticios.
Una de las mayores ventajas de la carne del pavo es su bajo contenido en grasa, lo que la convierte en un alimento ideal para dietas bajas en calorías o aquellas que tienen como objetivo la pérdida de peso. Otra gran ventaja es su bajo contenido en sodio, haciendo esta carne ideal para personas con presión arterial alta o con otras condiciones que requieren un consumo mínimo de este mineral. Asimismo, su suave sabor permite que se mezcle con especias y hierbas, por lo que la sal no hará falta.

Usos Culinarios y Versatilidad
El jamón de pavo es ideal para preparar sándwiches, ensaladas, tacos, crepes o pastas por su sabor neutro y balanceado, que se fusiona con estos y otros platos. Aunque el sándwich es su uso más común, este alimento ofrece una gran versatilidad en la cocina. A continuación, algunas ideas:
- Para una salsa, pica tres lonchas de jamón de pavo en pequeños cuadritos, agrégalos a una taza de yogurt griego natural y aromatiza con orégano, albahaca, paprika, comino o la especia o hierba que prefieras. Usa esta salsa para acompañar una pasta.
- Puedes hacer un dip fácilmente procesando cuatro lonchas de jamón de pavo con 250 gramos de queso crema bajo en grasa. Sírvelo con galletas integrales o bastoncitos de zanahoria y apio.
- Rellena un crepe con mostaza, mayonesa, rúgula, queso cheddar y jamón de pavo.
- Cocina cuatro papas para hacer un puré, luego agrega un huevo, jamón de pavo picado y queso mozzarella. Forma pequeñas croquetas y llévalas al horno hasta que estén doradas.
- Mezcla hojas de lechuga, manzana verde picada en cubos, nueces, queso azul y tiritas de jamón de pavo para una rica ensalada.

El Jamón de Pollo
El jamón de pollo es otro producto cárnico procesado que, al igual que el de pavo, se elabora a partir de carne de pollo. Sus características nutricionales y consideraciones en cuanto a procesamiento y aditivos son, en muchos aspectos, similares a las del jamón de pavo, ofreciendo una alternativa con un perfil de sabor y textura propios. Aunque el borrador no especifica detalles particulares sobre su elaboración, generalmente se somete a procesos de cocción y condimentación para asegurar su conservación y sabor.
Aspectos Clave en la Compra y Consumo de Embutidos (Pavo y Pollo)
Diferenciando Calidad: Pechuga Natural vs. Fiambre Procesado
Es fundamental diferenciar la pechuga de pavo en su forma natural (carne fresca) de la pechuga de pavo procesada (fiambre o embutido), ya que la calidad de estos productos varía significativamente. La pechuga de pavo procesada puede contener pechuga de pavo puro o mezcla de ingredientes.
Para identificar un producto de mejor calidad, es importante observar la pieza: la pechuga de pavo de alta calidad mantiene el tamaño, la forma y la textura de la pieza original, por lo que no es habitual encontrar dos iguales. En cambio, el fiambre presenta siempre la misma forma, ya que los ingredientes se amasan y se meten en moldes. Cuando esté en un supermercado, lea cuidadosamente las etiquetas para cerciorarse de llevar a su mesa un producto de calidad: prefiera aquellos jamones que sean con 100% carne de pavo.
Este principio de diferenciación entre un producto cárnico de calidad y un fiambre de menor calidad se aplica también a los productos de pavo y pollo. Los fiambres de menor calidad pueden contener proteínas vegetales (normalmente de soja), féculas (almidones) y una mayor cantidad de azúcares y gelificantes para conseguir un producto más barato y de menor calidad nutritiva.

Aditivos Comunes y Consideraciones de Salud
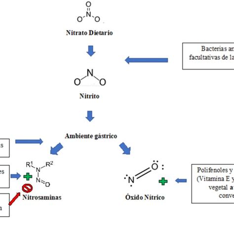
Durante el proceso de fabricación de muchos productos cárnicos procesados, como el jamón de pavo y otros embutidos, se utilizan aditivos. La pieza se trata con sal (salmuera) y conservantes como nitratos (E-251 y E-252) y nitritos (E-249 y E-250). Estos son necesarios para su buena conservación e indispensables para eliminar la bacteria Clostridium botulinum, precursora del botulismo, una enfermedad grave que puede provocar desde cólicos abdominales hasta parálisis y, en casos extremos, la muerte.
Aunque los nitratos y nitritos son aceptados oficialmente por la Unión Europea para la conservación de alimentos, tienen efectos secundarios a considerar. Al ser absorbidos por el intestino, los nitratos se transforman en nitritos por acción bacteriana. Estos nitritos pasan a la sangre, se combinan con la hemoglobina y dan lugar a la metahemoglobina, reduciendo la capacidad de la sangre para transportar oxígeno. En recién nacidos, esto puede derivar en metahemoglobinemia o síndrome del bebé azul, potencialmente mortal. Además, los nitritos reaccionan en el medio ácido del estómago con los grupos aminos de las proteínas, originando nitrosaminas, sustancias altamente cancerígenas. Este efecto puede contrarrestarse con un consumo habitual de frutas y verduras, ricas en vitamina C y E, carotenoides y flavonoides.
Otros aditivos presentes en embutidos y fiambres pueden incluir:
- Tartracina (E102): En grandes dosis, es un liberador de histamina y puede aumentar los síntomas del asma, producir eczemas, urticarias e insomnio.
- Amarillo de quinoleína (E104): A largo plazo, podría resultar cancerígeno.
- Cochinilla (E120) y Rojo cochinilla A (E124): El E120 es peligroso especialmente para los niños, mientras que el E124 puede aumentar los síntomas del asma, producir eczemas, urticaria e insomnio.
- Carragenatos y carragenina (E407): No recomendados en niños y embarazadas, pueden provocar alergias y debilitar el sistema inmunitario.
- Manitol (E421): En dosis bajas, provoca flatulencias y diarrea.
- Glutamato monosódico (E621-E625): Aditivo relacionado con la obesidad, sobre todo infantil, por su capacidad de incrementar el hambre (síndrome del restaurante chino); daña la regulación hipotalámica del apetito, además de producir destrucciones neuronales.
- Azúcares o oligosacáridos (dextrosa, glucosa, jarabes de glucosa): Influyen en el sabor, el color y la conservación del producto.
- Proteínas (de sangre, vegetales como la soja): Se utilizan para incrementar el contenido proteico y la capacidad de retener agua del producto, siendo a menudo una opción económica.
Es importante identificar estos aditivos, ya que resulta preferible evitar gran parte de ellos por los efectos negativos descritos. La ingesta diaria admitida (IDA) por la JECFA establece límites estrictos para nitratos (0,37 mg/kg de peso) y nitritos (0,06 mg/kg de peso). La legislación prevé un máximo de 250 ppm de nitratos y nitritos en los alimentos.

Etiquetado y Normativa
El jamón de pavo, definido como el producto alimenticio elaborado exclusivamente con carne de los muslos del pavo, es un alimento con un alto contenido de sodio. El consumo diario de este alimento podría tener repercusiones a la salud, por lo que su ingesta debe ser moderada.
La actualización de la NOM-051-SCFI/SSA-2010 ha establecido los lineamientos para orientar a la población hacia un consumo responsable, agregando sellos de advertencia (“exceso de kcals, grasas saturadas, grasas trans, sodio y azúcares”) en el etiquetado frontal de los productos alimenticios. Estudios han demostrado que muchos productos evaluados ameritan al menos un sello de advertencia por exceso de sodio, y algunos incluso por "exceso de grasas saturadas".
Es crucial leer las etiquetas para identificar sus ingredientes, sobre todo los no indispensables para la elaboración del producto, y considerar el aspecto, textura y color, que deberían remitirnos a un producto más natural.

Recomendaciones de Consumo
Si bien los jamones de pavo y pollo pueden ser una fuente de proteínas, es importante recordar que el consumo de jamón cocido, pechuga de pavo o cualquier otro embutido procesado debe ser muy esporádico para evitar posibles efectos negativos en la salud. A ser posible, es mejor optar siempre por la alternativa ecológica, consumiéndolos como máximo dos o tres veces a la semana y en pequeñas cantidades. Un análisis comparativo puede mostrar que, aunque la aportación nutricional entre marcas sea similar, la calidad y los procesos de elaboración pueden variar, justificando diferencias de precio.